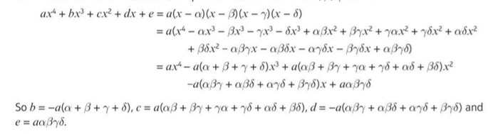
Consider the quartic equation ax2 + bx3 + cx2 + dx + e = 0, x E C, where a, b, c, d and e are real numbers.
⇒ If the roots of the equation are α, β, γ, and δ, you can determine the relationship between the coefficients of the terms in the equation and the values of α, β, γ, and δ


