⇒ A stationary (or standing) wave is a wave formed by the superposition of two progressive waves of the same frequency and amplitude travelling in the opposite direction
⇒ As seen previously, where waves are in phase, the displacements add to form a peak/trough with double the original amplitude. Where the waves are in antiphase, their displacements cancel out
⇒ Where waves are stationary the positions of maximum and minimum displacement remaining in the same place
⇒ At a node, the amplitudes of the two progressive waves moving in opposite directions always cancel out so the particles do not oscillate at all
⇒ At an antinode, the amplitudes add together
⇒ Nodes are separated by half a wavelength, as are antinodes
lin
⇒ As can be seen in the gif, there are two progressive waves travelling in the opposite direction (a green wave moving left and a red wave moving right) - they both have the same frequency and amplitude
⇒ The blue line demonstrates the stationary wave that is formed by the two progressive waves moving in opposite directions
⇒ A few snapshots from this movement (i.e. from one complete cycle) is provided below to help understand what is happening further. Pay particular attention to the part of the wave where the black arrow is:

⇒ 1) Here the two progressive waves (that are travelling in opposite direction) are in phase and there is constructive superposition, so their displacements add. This means the combined displacement is double their original displacement

⇒ 2) Having moved a little further to the left and right respectively (i.e. a quarter of the way through the cycle), here the two progressive waves are in antiphase causing destructive superposition. So the combined displacement of both waves is zero

⇒ 3) At halfway through the cycle, the position of the peaks and troughs is reversed. There is constructive superposition again and the displacements add

⇒ 4) Three-quarters of the way through the cycle, the displacements again cancel each other out and the superpositon is destructive. The combined displacement of both waves is zero.

⇒ A guitar string supports different modes of vibration for stationary waves (i.e. harmonics)
⇒ The first harmonic is the mode of vibration with the longest wavelength
⇒ The second harmonic is the mode of vibration with the next longest wavelength

⇒ The frequency of the vibration is found using:

⇒ In the first harmonic on a string, there is two nodes and one antinode.
⇒ For a guitar string of length l, the length of a complete wavelength of the lowest harmonic is 2l because there is only one loop of the stationary wave, which is half a wavelength
⇒ For waves travelling along a string in tension, the speed of a wave is given by:

⇒ The equation to work out the frequency of a string in tension is as follows:

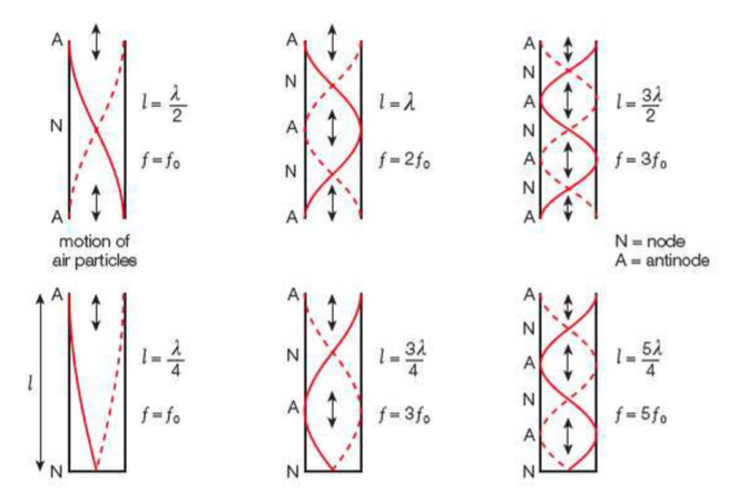
⇒ Longitudinal waves (like sound waves) can also form stationary waves
⇒ The amplitude is greatest at the open end of a pipe (and here there is an antinode)
⇒ Particles cannot vibrate at a closed end so there is a node
⇒ If the pipe has two open ends, the stationary wave has at least two antinodes at the end of each pipe

⇒ So, as we have seen, stationary waves can occur on a guitar string, but they can also form when the air column in wind instruments is forced to vibrate
⇒ Different notes in wind instruments are created by the different harmonics of stationary waves in the air columns

⇒ Microwaves and other electromagnetic waves can interact to form stationary waves
⇒ Microwaves (in an oven) are typically generated using a magnetron and the microwaves reflect off the metal surfaces to ensure they are evenly spread
⇒ Nevertheless, stationary waves still often develop, which causes food to be overcooked at the antinodes and undercooked at the nodes - this is why microwaves have a rotating turntable
⇒ Also see our notes on: