⇒ Electromagnetic waves are transverse and have a range of wavelengths/frequencies
⇒ Atoms are ionised when they gain or lose electrons
⇒ Electrons are negatively charged and have a mass about 2000 times larger than protons/neutrons
⇒ Energy is conserved - it cannot be created or destroyed
⇒ The energy of the photon is given by the formula: E = hf
⇒ The photoelectric effect was first observed in the 1880s
⇒ At that time, scientists thought light was a wave, and this explaine many properties of light e.g. reflection, refraction, and defraction.
⇒ The photoelectric effect can be demonstrated using a gold leaf electroscope
The photoelectric effect is where electrons are emitted from certain materials when light (i.e. electromagnetic radiation) of a certain minimum wavelength arrives at the material
⇒ In this experiment, you shine ultraviolet light (i.e. photons) on a zinc metal plate and can observe that electrons are emitted from the zinc (i.e. the photoelectric effect)
⇒ Before conducting the experiment, you must negatively charge the gold leaf electroscope (i.e. this means that there are more negative electrons on the electroscope than positive protons)
⇒ Then, as you turn on the ultraviolet lamp, the photoelectric effect removes electrons from the zinc metal plate, which is in contact with the electroscope, thereby removing electrons from the electroscope
⇒ After a small amount of time, all of the extra negative electrons will be removed, and since the electroscope will no longer be negatively chaged (i.e. the number of electrons and protons are balancing out), the leaves come back together again

However
⇒ If the gold leaf electroscope begins with a positive charge, the electroscope will remain unchanged
⇒ Obviously, when it begins positively charge (like with the negatively charged gold leaf electroscope) the two gold leaves will begin spread apart (as they both have the same charge)
⇒ The fact that the ultraviolet light does not have any affect on the gold leaves shows that all the ultraviolet light did before was knock electrons out of the zinc metal plate

Other Light
⇒ If you use a white light or an intense red laser, for example, the electroscope will not be discharged
⇒ Scientists expected these other sources of light to emit electrons by thermionic emission (i.e. they thought these light sources would heat the zinc, providing the electrons in the atoms with enough energy to escape the atom's attractive forces and be emitted)
⇒ However, this was not the case

⇒ In 1900, Max Planck offered a solution to understanding the Photoelectric Effect
⇒ He said that light (and other electromagnetic radiation) is emitted in quanta (i.e. small packets of electromagnetic radiation, we now know as photons)
⇒ He said that each individual quantum (i.e. packet) of light contains energy that is proportional to its frequency (E = hf)
⇒ This is how the solution works:
⇒ Other experiments can be used to demonstrate the photoelectric effect too, and a number of experimental observations have been made:
⇒ To explain threshold energy (i.e. the energy required to cause the photoelectric effect), we can imagine the the electrons in the metal being trapped in a potential well

⇒ The energy needed to escape from the potential well is different for different metals
⇒ If a photon does not reach the threshold frequency then it will not have enough energy to release a photoelectron and the photoelectric effect ill not be observed
⇒ The photon's energy does work to release the photoelectron and give it kinetic energy

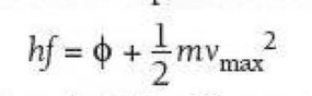
⇒ As energy is conserved, the energy within the photon is equal to the threshold energy + the kinetic energy of the photoelectron
⇒ The work function of a material is the least energy needed to release a photoelectron from a mateiral (this equals the threshold energy). The work function has the symbol Φ
⇒ The energy within a photon is equal to hf and this energy is transferred to the electron to release it from a material (the work function) and give the released photoelectron some kinetic energy:

⇒ This is Einstein's photoelectric equation
Using the work function
⇒ When a material's work function is less than 3.1 eV, visible light can release electrons
⇒ When a material's work function is less than 1.7 eV, infrared light can release electrons
⇒ Semiconductors are mateirals that have been treated to have a low work function, such that visible light and infrared light enable the photoelectric effect e.g. in solar cells

⇒ This shows a photoelectric cell
⇒ When light hits the metal surface on the left, some photoelectrons are emitted
⇒ These emitted photoelectrons can be detected by a sensitive ammeter when they reach the electrode on the right
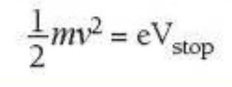
⇒ By giving the electrode on the right a negative charge, instead of a positive charge, the photoelectrons can be turned back so they don't reach the electrode at all
⇒ Because the electrons don't reach the negatively charged electrode, the current will be zero as there is no flow of charge - a stopping potential has been applied to the electrons
⇒ This stopping potential gives a measure of the electrons' maximum kinetic energy
⇒ Thus, the electron's kinetic energy may be calculated using this equation:

⇒ Also see our notes on: