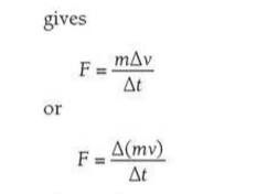
⇒ Newton's second law can be used to link an applied force to a change of momentum:


⇒ This can be put into words as follows: force equals the rate of change of momentum - this is a more general statement of Newton's second law of motion
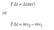
⇒ The last equation may also be written in the form:

Where v2 is the velocity after a force has been applied and V1 is the velocity before the force has been applied

⇒ Impulse is the product of force and time and has the unit N s

⇒ Gymansts use trampolines to reach and fall from great heights, and without a trampoline they would hurt themselves falling from such a height

⇒ When you fall you have an amount of momentum that is determined by how far you fall
⇒ The force on you when you stop depends on the time interval when you stop
⇒ The idea of Impulse is vital in designing cars safely
⇒ The following graph shows two force-time graphs for passengers A and B in a high speed car crash
⇒ Marked on the graph is a small area (force x change in time); this is equal to the change in momentum in that time interval

⇒ So the total change of momentum of one of the passengers in the crash is the sum of all the small areas: ΣF▵t. Thus:
⇒ The two passengers have different masses, so the areas under each graph are different
⇒ Also see our notes on: