
⇒ In this image, a particle is moving round a circular path at a constant speed, v, and because it is constantly changing direction the particle is always accelerating
⇒ It is easier to understand the acceleration when you recall the formula: acceleration = change of velocity⁄time
⇒ Velocity is a vector quantity, so if the direction of the motion changes, even though there is no change of speed, there must be acceleration

⇒ This image shows the direction of the acceleration
⇒ The diagram shows the change in velocity, which is directed along the line BO, towads the centre of the circle
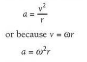
⇒ The size of the acceleration, a, is calculated using this formula:

⇒ Here v is the constant speed of the particle, ω is the angular velocity, and r is the radius of the path
⇒ You are not expected to be able to derive the formula for centripetal acceleration, but for those of you that are interested in where the fromula comes from, have a look at this...
⇒ In the circular image above, the particles moves from A to C in a small time, t. We now look at the instanteous acceleration at the point B by considering a very small angle θ. The distance travalled round the arc AC, s, is given by:

⇒ In the triangular image above (showing the vectors), the angle θ is given by:

⇒ Also see our notes on: