⇒ Acceleration = change of velocity ÷ time
⇒ Resultant force = mass x acceleration
⇒ A vector quantity has a magnitude and a direction: force, velocity and acceleration are vectors
⇒ Circumference of a circle = 2π x radius of the circle
⇒ Newton's First Law of Motion: a body remains at rest or continues to move in a straight line at a constant speed unless acted on by an unbalanced force
⇒ You are used to measuring angles in degrees, but in physics problems involving rotations we use a different measure

⇒ Here, an arc AB is shown. The lenght of the arc is s, and the raidus of the circle is r. We define the angle θ as: θ = s/r
⇒ The advantage of this measure is that θ is a ratio of lengths, so it has no unit
⇒ Since the circumference of a circle is 2πr, it follows that 2π radians is the equivalent of 360 degrees

⇒ When something rotates about a fixed point we use the term angular displacement to measure how far the object has rotated
⇒ The term angular velocity, ω, is used to measure the rate of angular rotation. Angular velocity has units of radians per second rad s-1:

⇒ In general there is a useful relationship connecting the time period of one complete rotation, T, and angular velocity, ω, because after one full rotation the angular displacement is 2π:


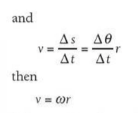
⇒ There is a further useful equation, which connects angular velocity with the velocity of rotation. Since:


⇒ This equation shows that the rotational speed of something is faster further away from the centre

⇒ Also see our notes on: